各位考生:
根据《广州工商学院2026年春季高考招生章程》《广州工商学院2026年招收中职毕业生“3+专业技能课程证书”考试招生录取工作方案》相关要求,我校对188名在省招生办志愿系统填报我校的考生进行资格审核,现将审核结果公布,详见《广州工商学院2026年“3+证书”招生考试报名考生报名审核结果(软件工程)》(附件1)和《广州工商学院2026年“3+证书”招生考试报名考生报名审核结果(数据科学与大数据技术)》(附件2)。
如对审核结果有异议,请于3月20日前与我办联系。受理单位:招生就业办公室,受理联系方式:020-86914402、86929603,受理时间:上午8:15-12:00,下午14:00-17:15。
温馨提示:缴费标准:90元/科。缴费方式:资格审核合格的考生可通过学校招生办网站(网址:https://www.gzgs.edu.cn/zsb/cjgk.htm),按我校的校考缴费操作指引进行缴费。缴费时间:3月18日9:00-3月19日14:00。缴费成功的考生才能参加编排考场座位、打印准考证;否则视为放弃报名资格。因个人原因放弃报名,不予退回报考费。
缴费成功后,考生可通过学校网站下载职业技能测试的准考证(网址:https://www.gzgs.edu.cn/jwc/index.htm),请考生及时打印准考证(预计打印时间:3月19日16:00-3月21日9:00)。
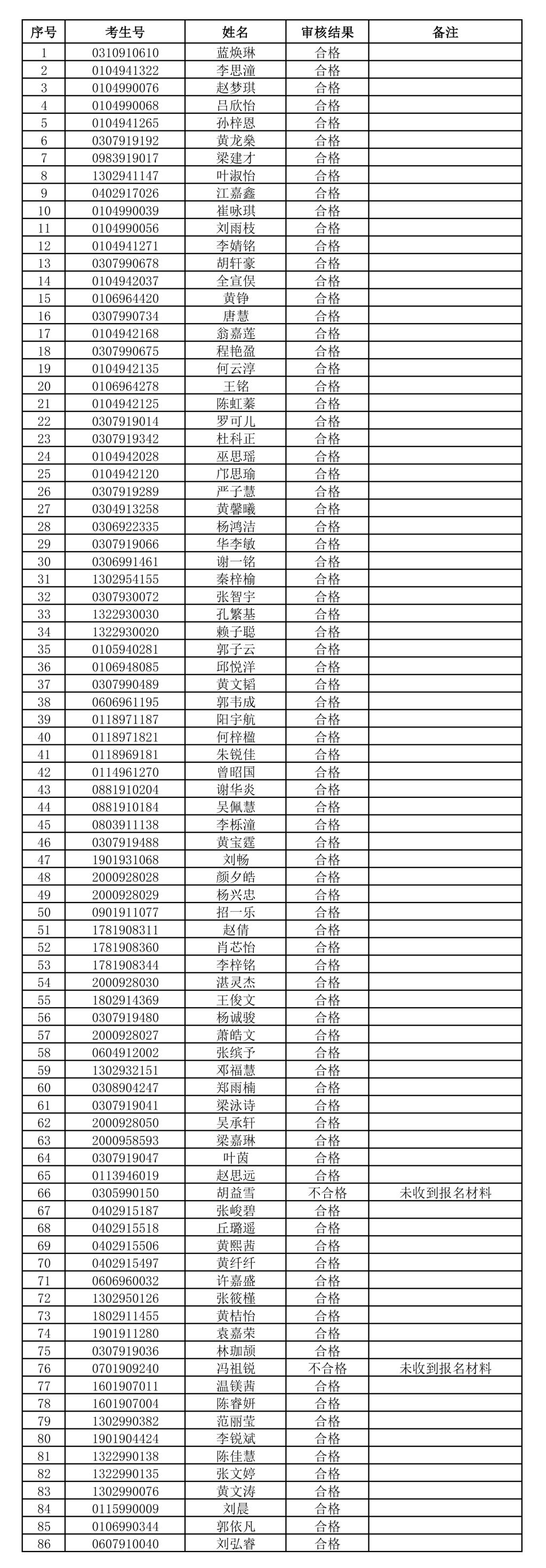
附件1:
广州工商学院2026年“3+证书”招生考试报名考生报名审核结果(软件工程)

附件2:
广州工商学院2026年“3+证书”招生考试报名考生报名审核结果(数据科学与大数据技术)
